|

学习细胞电泳的方法。

在电场作用于多相系统时,可使该系统产生相位移效应,称为电动现象,属于该电动现象的包括电泳和电渗透。 在电场作用下,液体介质中带电悬浮质点与介质间的相对运动,称为电泳。 将细胞制备成悬浮溶液,使其单个游离的细胞分散于等渗的介质中,在电场作用下,细胞在电泳室内发生运动,这种现象称为细胞电泳。 细胞表面具有一定的电荷(通常为负电荷),其表面吸附着被极化的水分子层,它与介质问存在着电位差,此电位差称为≮电位。每种细胞在恒定的条件下(如温度、电压、电流、介质浓度、pH值等)其电泳速度和≮电位十分稳定,但在各种有害因子或病理状态的影响下,可降低其表面电荷,所以细胞的电泳速度和℃电位值产生变化(降低)。因此,利用细胞电泳手段研究生命结构的表面性质,鉴定细胞或单细胞有机体的功能和病理状态具有重要的意义。

***材料:红细胞,白细胞,血小板,巨噬细胞,瘤细胞或植物的原生质体,叶绿体等。
***用品:
1.试剂:氯化钠,氯化钾,琼脂(或琼脂粉),蔗糖,肝素,纯乙醇,液体白蜡等。
(1)生理盐水肝素液:在生理盐水中(0.9%NaCl液),按每毫升加入4~5IU(国际单位)的肝素(也可用0.4%的枸橼酸钠代替)混匀后备用。
(2)8%蔗糖肝素液:在8%的蔗糖中,加入按每1 mL加入4~5IU的肝素(也可用0.4%的枸橼酸钠代替)混匀后备用。
(3)50%血清液:用生理盐水将离心后提取的同种动物的血清配制成50%的介质。因血清中含有抗凝物质,在制备此液后不需再加入其他抗凝剂。 在作原生质体、叶绿体的电泳实验时,最好采用6%~8%的甘露醇或山梨醇作介质,配好后不需再加其他试剂。
2.器具:细胞电泳仪,普通光学显微镜,计算器,血细胞计数器,网格目镜测微尺(规格1/2 mm),物镜测微尺,细胞电泳架(与电泳仪配套),电泳毛细管,采血量管,样品管(2 mL小试管),1 mL吸管,5 mL注射器,50mL烧杯,解剖刀,剪,镊。

1.样品的制备:根据实验对象,选择所需介质1 mL,再用采血量管或微型移液器吸取浓缩细胞10删113,加入上述介质中混匀待用;红细胞电泳,可直接吸取全血10 n1L,加入所选择的介质中混匀后即可使用。做原生质体电泳时,可用血细胞计数器控制在1舢m3含20~30个;制取白细胞、血小板等可利用常规分离方法。
2.盐桥的制备:称取9 g氯化钾加蒸馏水至100 mL,溶解后加入0.4 g琼脂或琼脂粉加热溶化,在加热时不断用玻璃棒搅动,直至全部溶化为止,此时将长1.5 cm的塑料管插入溶液内,使管腔内全部被溶液充满,不得留有气栓。在常温下冷却4小时以上,然后取出灌满琼脂胶的塑料管(即盐桥),轻轻揩去外壁的胶液,盛入9%氯化钾液的广口瓶中,4~5周内都可使用。 如无专用塑料管制备盐桥,亦可用空圆珠笔心代替,先切成规定长度并用碱水煮沸,除去油污,再用清水洗净晾干,使用效果良好。
3.校正目镜测微尺。
4.毛细管电泳室的制备和测量层的选择:特制外径1~1.2 ITlln,截成长6 cm的玻璃毛细管电泳室,实验时将物镜焦面对准管腔内中央轴线,在电场作用下,即可观察到细胞的电泳现象,测量处于不同状况的细胞和不同介质的电泳速度的差异,并可对迁移率和细胞的1:电位进行计算,可达到较理想的实验效果。 根据流体力学原理,液体在管腔内流动,因为管壁对流体有吸附作用和摩擦力,其管腔内不同深度的质点的运动速度是不一致的,管腔的中心处最快,紧贴管壁处最慢。 处在电泳室管腔内同一截面的带电质点,在电场作用下,按液体的不同深度在单位时间内其运动速度是不一致的,速度与深度的变化呈抛物线关系。根据实验测定,管腔内不同部位质点运动的速度与深度间为指数函数关系,即f(z)=缸2。 这里/’(z)表示自同截面起始(XX’轴)在单位时间内质点运动的距离;a为常数量,代表测量深度、梯度的等分数(,z)的第一级速度,即靠近管壁的速度;z代表等分数(”)的各级序列数值。 从上可知,在做电泳速度测量时,因为毛细管内不同深度质点的运动速度具有线性差异关系,所以在其他因素(如温度、黏度、电压、电流、细胞浓度、pH值等)相对稳定的条件下,必须选择固定的深度进行测量,否则,因深度的变化而测定的电泳速度,将不能显示正确的实验数据。 关于测量层,即物镜所对焦面的观察层,应选择在靠观察壁侧毛细管直径的1/6至1/4范围内;在每次实验的始终,应采用固定的测量层(即测量深度),因为深度的改变会引起电泳速度的变化。
5.测定测量层:首先在划有刻度线的毛细管所对应的两内壁间的距离d(即毛细管电泳室的内径),则靠近观察划线的1/6至1/4深度处为所选择的测量层。用显微镜的低倍物镜(10×),先把细调旋钮的指示箭头对准刻度盘的“0”处,然后慢慢调整粗调焦旋钮把焦面对准靠观察壁一侧的划线处,这时再旋转细调,使焦面逐渐向管腔内延伸,直至观察到对面壁的划线时(视划线清楚为止),记下细调旋转的圈数和最后不满1圈的刻度数,即可算出从靠近物镜划线的焦面至对面划线焦面间物镜镜头向前延伸的距离,即为电泳毛细管管腔的直径山根据被测d的数值,可算出1/6至1/4的深度,并按以上操作方法,将测量层固定在选定的深度。 在实际测量中,要不间断地改变电场方向,测定往返运动着的不同细胞,如果电场方向不变,只测定向单一方向移动的细胞,则由于电渗的作用,使质点运动速度加快,以至造成“环流”,此时将不能进行电泳速率的测定。
6.测定电泳速度:
(1)根据所需用的输入电源,将仪器背面的电源选择钮“交流一直流”,拨至所需要的位置。
(2)接通电源,打开电源开关;指示灯亮。
(3)插入直流输出引线,注意请勿将电极夹的正负电极短路,以免损坏仪器。
(4)将调整开关拨至“工作”挡,换向开关拨至“正”,然后调节“电压调节”旋钮,使电压为40V,此时再将开关拨至“停止”挡。
(5)将制备的样品注满毛细管电泳室,其灌注方法:将毛细管斜插入被测样品中,由于毛细作用,则整个管腔充满了被测细胞悬液。也可利用橡皮头的吸吮作用将样品灌满毛细管电泳室。将注满样品的毛细管水平移至电泳架上,并夹紧,然后利用盐桥将毛细管与银电极接通。
(6)将电泳架移至显微镜载物台上,调整焦距,使焦面落在管腔内选择的位置。为了操作迅速,避免因测量时间过长引起细胞沉降,可事先做好空白调试,定出电泳架在载物台上的位置及毛细管内壁刻度线的焦距。
(7)通过直流输出引线端的电极夹,分别与左右电极接通。
(8)测量:
①开关拨至“工作”挡,调节电压为40v,由于电场的作用,在视野中可以观察到管腔中细胞的移动,并记录1个细胞通过网格目镜测微尺(1格或2格)的时间。
②开关拨至“停止”挡,细胞即停止运动。
③将换向开关拨至负处,调整开关拨至“工作”挡,由于电场方向变更,则细胞向相反方向移动,此时再选择另一细胞,按上述方法,记录下电泳时间。如此反复进行,测量多次,并分别记录实验数据。如配有SD型自动计时仪与该机联网使用,可自动积分计时和显示测量终点,可缩短测量和计算时间,提高测量的准确度。
④实验结束后,将电压旋回“0”处,调正开关拨至“停止”挡,并关闭电源。
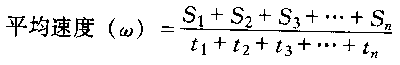
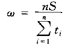
(9)计算电泳速度:根据所测量得到的网格目微尺格度的实际观察值,计算出每次的电泳距离S,将所测电泳距离的总和除以所测时间的总和,即得出电泳的平度速度(∞)。设共测卵次,则:


(S可用μm或mm表示) 因为每次测得时间t(共n次)为不等值,而电泳距(S)为定值即S1=S2=S3…S。,所以 ,因此,平均电泳速度为:

(点击下面的链接查看图片,如果你禁止了弹出窗口,你将无法看到结果图片或视频!)
查看图片
查看动画
查看视频

1.电路接通后要迅速进行测量,以防时间拖长,细胞沉降。
2.利用单机测量时,每次细胞行程至终点并记录该次时间数据时,应断开直流电源,即从“工作”挡拨至“停止”挡。
3.上机测量时,电泳毛细管两端应调至水平位置。
4.电极夹一电极一盐桥一毛细电泳室各连接间都要接触紧密,盐桥及毛细电泳室腔内不得造成气栓,以免产生断路。
5.每次实验结束后,应彻底清洗电泳架、电极和毛细电泳室,干燥后放入小盒内。

记录不同类型细胞电泳结果,分析原因。

为什么常用6%~8%甘露醇(或山梨醇)作为原生质体电泳的介质?
|