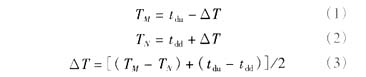
超前参考端(M侧)ΔT,有:  当tdu=tdd时,两侧对齐的条件为TM=TN,所以在对称通道下,理论上可以做到采样时刻同步。由上可知:“梯形算法”的前提是光纤通道必须对称。  同步后将两侧相同时刻的采样值标以相同的时间序号,为充分满足通道的延时要求,笔者采用12周波循环序号(窗口长度240ms)。WXH-803采用每周波96点采样,则统计时间序号为96×12=1152个。图1所示mi、ni即为各侧时标。同步后应有 m0=n0,m1=n1,…,这样两侧的时间坐标建立了基于采样序号的对应关系,为差动计算奠定了基础。 3 同步误差分析 3.1 晶振漂移引起的误差分析 保护系统同步后,造成系统再次失去同步的主要原因是两侧保护晶振的相对漂移,这是一个相对缓慢而非突变的过程(实验表明:在工作频率40MHz、精度为10-9ppm的时钟下,同步后两侧采样时刻偏离0.1 ms的页码:[1] [2] [3] [4] [5] [6] [7] [8] 第3页、共8页 |